你提供的照片可能用于改善必应图片处理服务。
隐私政策
|
使用条款
无法使用此链接。检查链接是否以 "http://" 或 "https://" 开头,然后重试。
无法处理此搜索。请尝试其他图像或关键字。
试用视觉搜索
使用图像搜索、识别对象和文本、翻译或解决问题
将一个或多个图像拖到此处,
上传图像
或
打开相机
将图像放到此处以开始搜索
要使用可视化搜索,请在浏览器中启用相机
English
全部
搜索
图片
灵感
创建
集合
视频
地图
资讯
更多
购物
航班
旅游
笔记本
自动播放所有 GIF
在这里更改自动播放及其他图像设置
自动播放所有 GIF
拨动开关以打开
自动播放 GIF
图片尺寸
全部
小
中
大
特大
至少... *
自定义宽度
x
自定义高度
像素
请为宽度和高度输入一个数字
颜色
全部
仅限颜色
黑白
类型
全部
照片
剪贴画
素描
动画 GIF
透明
版式
全部
方形
横版
高
人物
全部
仅脸部
半身像
日期
全部
过去 24 小时
过去一周
过去一个月
去年
授权
全部
所有创作共用
公共领域
免费分享和使用
在商业上免费分享和使用
免费修改、分享和使用
在商业上免费修改、分享和使用
详细了解
清除筛选条件
安全搜索:
中等
严格
中等(默认)
关闭
筛选器
1019×1440
slidestalk.com
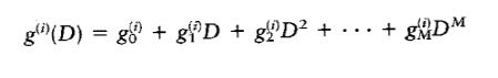
卷积码
850×542
researchgate.net
Convolutional Decoding operation through Viterbi algorithm. | Downloa…
1200×600
github.com
GitHub - zsjtiger/learning-algorithm: 数据结构与算法:[进度40%]以C语言严谨描述数据结 …
850×1100
researchgate.net
(PDF) New Algorithm for C…
850×743
researchgate.net
A Convolutional Code | Download Scientific Diag…
284×284
researchgate.net
Convolution code generation | Download Sc…
320×453
slideshare.net
Convolution_code.pdf
552×284
researchgate.net
Convolution code generation | Download Scientific Diagram
320×453
slideshare.net
Convolution_cod…
320×453
slideshare.net
Convolution_cod…
320×453
slideshare.net
Convolution_code…
320×453
slideshare.net
Convolution_code…
320×453
slideshare.net
Convolution_code…
320×453
slideshare.net
Convolution_code.…
320×453
slideshare.net
Convolution_code.…
320×453
slideshare.net
Convolution_code.…
2048×2898
slideshare.net
Convolution_code.…
1600×955
learnopencv.com
Convolutional Neural Networks | LearnOpenCV
850×281
researchgate.net
Convolution code for a binary (2, l, 3). | Download Scientific Diagram
850×224
researchgate.net
Convolution code for a binary (2, l, 3). | Download Scientific Diagram
1023×708
SlideServe
PPT - Convolutional codes PowerPoint Presentation, free download - ID:784634
320×320
researchgate.net
Processing of Convolution codes | Download Scientific Di…
640×640
researchgate.net
Processing of Convolution codes | Download Scientific Di…
320×320
researchgate.net
Conformal transformation of Zj-plane to ζj -plane | Download …
638×479
slideshare.net
Convolutional codes
785×527
chegg.com
Solved Provide the code for convolution of x and z | Cheg…
623×235
brainkart.com
Convolutional codes
449×71
brainkart.com
Convolutional codes
464×518
theengineeringstudy.com
Convolutional codes
720×540
SlideServe
PPT - Convolution codes ( 卷积码) PowerPoint Presentation, free download - ID:…
1024×768
SlideServe
PPT - Convolution codes ( 卷积码) PowerPoint Presentation, free dow…
1024×768
SlideServe
PPT - Convolution codes ( 卷积码) PowerPoint Presentation, free dow…
1024×768
SlideServe
PPT - Convolution codes ( 卷积码) PowerPoint Presentation, free downlo…
1024×768
SlideServe
PPT - Convolution codes ( 卷积码) PowerPoint Presentation, free downlo…
1024×768
SlideServe
PPT - Convolution codes ( 卷积码) PowerPoint Presentation, free downlo…
某些结果已被隐藏,因为你可能无法访问这些结果。
显示无法访问的结果
报告不当内容
请选择下列任一选项。
无关
低俗内容
成人
儿童性侵犯
反馈